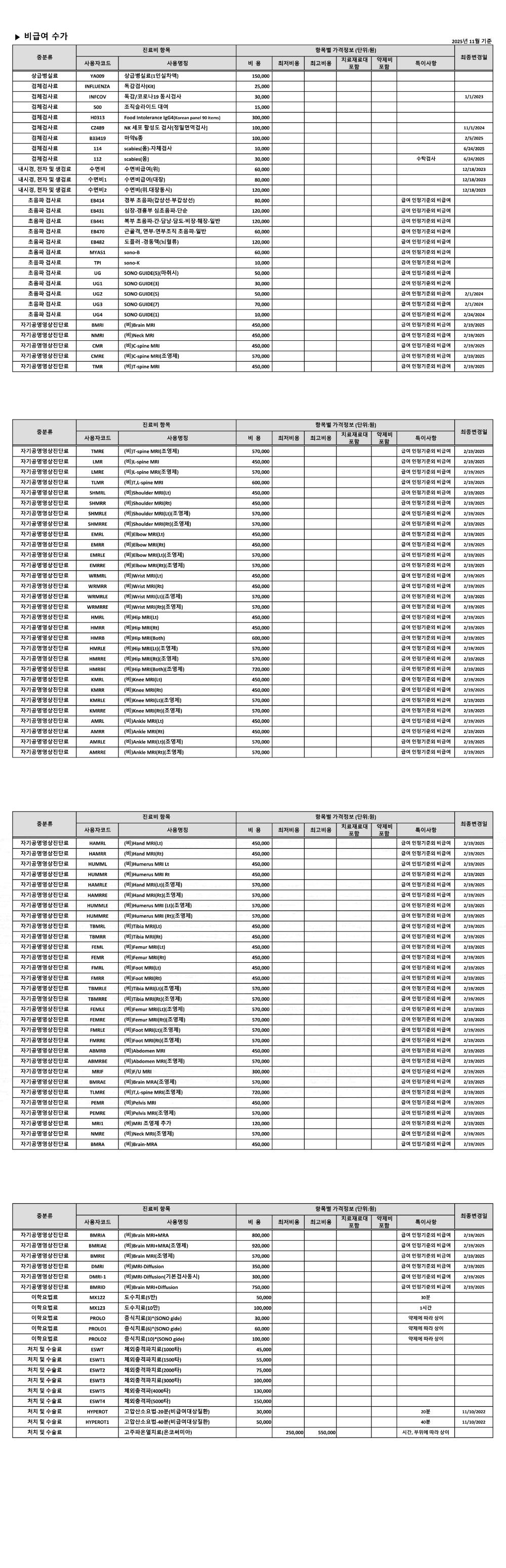
비급여진료비 관련근거 : 의료법 제45조 제1항 및 제2항과 동법 시행규칙 제 42조의 제1항, 제2항 및 제3항에 의하여 비급여 진료비용을 고지하기 위한 조회 화면입니다. 행위료는 단일 개별 항목의 비용으로 시행횟수 및 범위에 따라 달라질 수 있으며, 치료재료 및 약제가 필요한 경우 별도 산정됩니다. 행위 치료재료 약제 제증명수수료 기타 행위 치료재료 약제 제증명수수료 기타